R-package sgboost

Implements the sparse-group boosting in to be used conjunction with the R-package mboost. A formula object defining group base learners and individual base learners is used in the fitting process. Regularization is based on the degrees of freedom of individual baselearners \(df(\lambda)\) and the ones of group baselearners \(df(\lambda^{(g)})\), such that \(df(\lambda) = \alpha\) and \(df(\lambda^{(g)}) = 1- \alpha\).

Installation

You can install the development version of sgboost from GitHub with:

# install.packages("devtools")
devtools::install_github("FabianObster/sgboost")

Example

This is a basic example which shows you how to solve a common problem:

library(sgboost)
library(dplyr)
library(mboost)

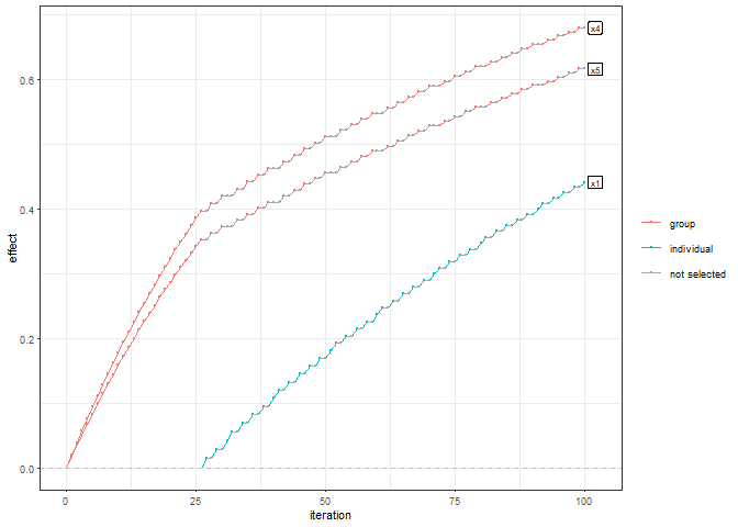
For a data.frame df and a group structure group_df, this example fits a sparse-group boosting model and plots the coefficient path:

library(sgboost)
set.seed(1)
df <- data.frame(
  x1 = rnorm(100), x2 = rnorm(100), x3 = rnorm(100),
  x4 = rnorm(100), x5 = runif(100)
)
df <- df %>%
  mutate_all(function(x) {
    as.numeric(scale(x))
  })
df$y <- df$x1 + df$x4 + df$x5
group_df <- data.frame(
  group_name = c(1, 1, 1, 2, 2),
  var_name = c("x1", "x2", "x3", "x4", "x5")
)

sgb_formula <- as.formula(create_formula(alpha = 0.3, group_df = group_df))
#> Warning in create_formula(alpha = 0.3, group_df = group_df): there is a group containing only one variable.
#>             It will be treated as individual variable and as group
sgb_model <- mboost(formula = sgb_formula, data = df)
plot_path(sgb_model)