ggupset

Plot a combination matrix instead of the standard x-axis and create UpSet plots with ggplot2.

Installation

You can install the released version of ggupset from CRAN with:

# Download package from CRAN
install.packages("ggupset")

# Or get the latest version directly from GitHub
devtools::install_github("const-ae/ggupset")

Example

This is a basic example which shows you how to solve a common problem:

# Load helper packages
library(ggplot2)
library(tidyverse, warn.conflicts = FALSE)
#> ── Attaching core tidyverse packages ──────────────────────── tidyverse 2.0.0 ──
#> ✔ dplyr     1.1.4     ✔ readr     2.1.5
#> ✔ forcats   1.0.0     ✔ stringr   1.5.1
#> ✔ lubridate 1.9.3     ✔ tibble    3.2.1
#> ✔ purrr     1.0.2     ✔ tidyr     1.3.1
#> ── Conflicts ────────────────────────────────────────── tidyverse_conflicts() ──
#> ✖ dplyr::filter() masks stats::filter()
#> ✖ dplyr::lag()    masks stats::lag()
#> ℹ Use the conflicted package (<http://conflicted.r-lib.org/>) to force all conflicts to become errors

# Load my package
library(ggupset)

In the following I will work with a tidy version of the movies dataset from ggplot. It contains a list of all movies in IMDB, their release data and other general information on the movie. It also includes a list column that contains annotation to which genre a movie belongs (Action, Drama, Romance etc.)

tidy_movies
#> # A tibble: 50,000 × 10
#>    title       year length budget rating votes mpaa  Genres stars percent_rating
#>    <chr>      <int>  <int>  <int>  <dbl> <int> <chr> <list> <dbl>          <dbl>
#>  1 Ei ist ei…  1993     90   NA      8.4    15 ""    <chr>      1            4.5
#>  2 Hamos sto…  1985    109   NA      5.5    14 ""    <chr>      1            4.5
#>  3 Mind Bend…  1963     99   NA      6.4    54 ""    <chr>      1            0  
#>  4 Trop (peu…  1998    119   NA      4.5    20 ""    <chr>      1           24.5
#>  5 Crystania…  1995     85   NA      6.1    25 ""    <chr>      1            0  
#>  6 Totale!, …  1991    102   NA      6.3   210 ""    <chr>      1            4.5
#>  7 Visibleme…  1995    100   NA      4.6     7 ""    <chr>      1           24.5
#>  8 Pang shen…  1976     85   NA      7.4     8 ""    <chr>      1            0  
#>  9 Not as a …  1955    135    2e6    6.6   223 ""    <chr>      1            4.5
#> 10 Autobiogr…  1994     87   NA      7.4     5 ""    <chr>      1            0  
#> # ℹ 49,990 more rows

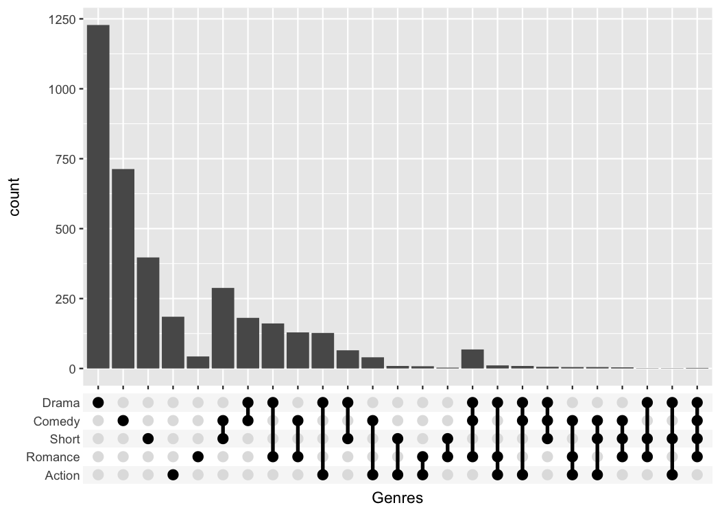
ggupset makes it easy to get an immediate impression how many movies are in each genre and their combination. For example there are slightly more than 1200 Dramas in the set, more than 1000 which don’t belong to any genre and ~170 that are Comedy and Drama.

tidy_movies %>%
  distinct(title, year, length, .keep_all=TRUE) %>%
  ggplot(aes(x=Genres)) +
    geom_bar() +
    scale_x_upset(n_intersections = 20)
#> Warning: Removed 100 rows containing non-finite outside the scale range
#> (`stat_count()`).

Adding Numbers on top

The best feature about ggupset is that it plays well with existing tricks from ggplot2. For example, you can easily add the size of the counts on top of the bars with this trick from stackoverflow

tidy_movies %>%
  distinct(title, year, length, .keep_all=TRUE) %>%
  ggplot(aes(x=Genres)) +
    geom_bar() +
    geom_text(stat='count', aes(label=after_stat(count)), vjust=-1) +
    scale_x_upset(n_intersections = 20) +
    scale_y_continuous(breaks = NULL, lim = c(0, 1350), name = "")
#> Warning: Removed 100 rows containing non-finite outside the scale range
#> (`stat_count()`).
#> Removed 100 rows containing non-finite outside the scale range
#> (`stat_count()`).

Reshaping quadratic data

Often enough the raw data you are starting with is not in such a neat tidy shape. But that is a prerequisite to make such ggupset plots, so how can you get from wide dataset to a useful one? And how to actually create a list-column, anyway?

Imagine we measured for a set of genes if they are a member of certain pathway. A gene can be a member of multiple pathways and we want to see which pathways have a large overlap. Unfortunately, we didn’t record the data in a tidy format but as a simple matrix.

A ficitional dataset of this type is provided as gene_pathway_membership variable

data("gene_pathway_membership")
gene_pathway_membership[, 1:7]
#>                                Aco1  Aco2  Aif1 Alox8   Amh Bmpr1b Cdc25a
#> Actin dependent Cell Motility FALSE FALSE FALSE FALSE FALSE  FALSE  FALSE
#> Chemokine Secretion            TRUE FALSE  TRUE  TRUE FALSE  FALSE  FALSE
#> Citric Acid Cycle              TRUE  TRUE FALSE FALSE FALSE  FALSE  FALSE
#> Mammalian Oogenesis           FALSE FALSE FALSE FALSE  TRUE   TRUE  FALSE
#> Meiotic Cell Cycle            FALSE FALSE FALSE FALSE FALSE  FALSE   TRUE
#> Neuronal Apoptosis            FALSE FALSE FALSE FALSE FALSE  FALSE  FALSE

We will now turn first turn this matrix into a tidy tibble and then plot it

tidy_pathway_member <- gene_pathway_membership %>%
  as_tibble(rownames = "Pathway") %>%
  gather(Gene, Member, -Pathway) %>%
  filter(Member) %>%
  select(- Member)

tidy_pathway_member
#> # A tibble: 44 × 2
#>    Pathway             Gene  
#>    <chr>               <chr> 
#>  1 Chemokine Secretion Aco1  
#>  2 Citric Acid Cycle   Aco1  
#>  3 Citric Acid Cycle   Aco2  
#>  4 Chemokine Secretion Aif1  
#>  5 Chemokine Secretion Alox8 
#>  6 Mammalian Oogenesis Amh   
#>  7 Mammalian Oogenesis Bmpr1b
#>  8 Meiotic Cell Cycle  Cdc25a
#>  9 Meiotic Cell Cycle  Cdc25c
#> 10 Chemokine Secretion Chia1 
#> # ℹ 34 more rows

tidy_pathway_member is already a very good starting point for plotting with ggplot. But we care about the genes that are members of multiple pathways so we will aggregate the data by Gene and create a list-column with the Pathway information.

tidy_pathway_member %>%
  group_by(Gene) %>%
  summarize(Pathways = list(Pathway))
#> # A tibble: 37 × 2
#>    Gene   Pathways 
#>    <chr>  <list>   
#>  1 Aco1   <chr [2]>
#>  2 Aco2   <chr [1]>
#>  3 Aif1   <chr [1]>
#>  4 Alox8  <chr [1]>
#>  5 Amh    <chr [1]>
#>  6 Bmpr1b <chr [1]>
#>  7 Cdc25a <chr [1]>
#>  8 Cdc25c <chr [1]>
#>  9 Chia1  <chr [1]>
#> 10 Csf1r  <chr [1]>
#> # ℹ 27 more rows
tidy_pathway_member %>%
  group_by(Gene) %>%
  summarize(Pathways = list(Pathway)) %>%
  ggplot(aes(x = Pathways)) +
    geom_bar() +
    scale_x_upset()

What if I need more flexibility?

The first important idea is to realize that a list column is just as good as a character vector with the list elements collapsed

tidy_movies %>%
  distinct(title, year, length, .keep_all=TRUE) %>%
  mutate(Genres_collapsed = sapply(Genres, function(x) paste0(sort(x), collapse = "-"))) %>%
  select(title, Genres, Genres_collapsed)
#> # A tibble: 5,000 × 3
#>    title                                   Genres    Genres_collapsed  
#>    <chr>                                   <list>    <chr>             
#>  1 Ei ist eine geschissene Gottesgabe, Das <chr [1]> "Documentary"     
#>  2 Hamos sto aigaio                        <chr [1]> "Comedy"          
#>  3 Mind Benders, The                       <chr [0]> ""                
#>  4 Trop (peu) d'amour                      <chr [0]> ""                
#>  5 Crystania no densetsu                   <chr [1]> "Animation"       
#>  6 Totale!, La                             <chr [1]> "Comedy"          
#>  7 Visiblement je vous aime                <chr [0]> ""                
#>  8 Pang shen feng                          <chr [2]> "Action-Animation"
#>  9 Not as a Stranger                       <chr [1]> "Drama"           
#> 10 Autobiographia Dimionit                 <chr [1]> "Drama"           
#> # ℹ 4,990 more rows

We can easily make a plot using the strings as categorical axis labels

tidy_movies %>%
  distinct(title, year, length, .keep_all=TRUE) %>%
  mutate(Genres_collapsed = sapply(Genres, function(x) paste0(sort(x), collapse = "-"))) %>%
  ggplot(aes(x=Genres_collapsed)) +
    geom_bar() +
    theme(axis.text.x = element_text(angle=90, hjust=1, vjust=0.5))

Because the process of collapsing list columns into delimited strings is fairly generic, I provide a new scale that does this automatically (scale_x_mergelist()).

tidy_movies %>%
  distinct(title, year, length, .keep_all=TRUE) %>%
  ggplot(aes(x=Genres)) +
    geom_bar() +
    scale_x_mergelist(sep = "-") +
    theme(axis.text.x = element_text(angle=90, hjust=1, vjust=0.5))

But the problem is that it can be difficult to read those labels. Instead I provide a third function that replaces the axis labels with a combination matrix (axis_combmatrix()).

tidy_movies %>%
  distinct(title, year, length, .keep_all=TRUE) %>%
  ggplot(aes(x=Genres)) +
    geom_bar() +
    scale_x_mergelist(sep = "-") +
    axis_combmatrix(sep = "-")

One thing that is only possible with the scale_x_upset() function is to automatically order the categories and genres by freq or by degree.

tidy_movies %>%
  distinct(title, year, length, .keep_all=TRUE) %>%
  ggplot(aes(x=Genres)) +
    geom_bar() +
    scale_x_upset(order_by = "degree")
#> Warning: Removed 1076 rows containing non-finite outside the scale range
#> (`stat_count()`).

Styling

To make publication ready plots, you often want to have complete control how each part of a plot looks. This is why I provide an easy way to style the combination matrix. Simply add a theme_combmatrix() to the plot.

tidy_movies %>%
  distinct(title, year, length, .keep_all=TRUE) %>%
  ggplot(aes(x=Genres)) +
    geom_bar() +
    scale_x_upset(order_by = "degree") +
    theme_combmatrix(combmatrix.panel.point.color.fill = "green",
                     combmatrix.panel.line.size = 0,
                     combmatrix.label.make_space = FALSE)
#> Warning: Removed 1076 rows containing non-finite outside the scale range
#> (`stat_count()`).

Maximum Flexibility

Sometimes the limited styling options using combmatrix.panel.point.color.fill are not enough. To fully customize the combination matrix plot, axis_combmatrix has an override_plotting_function parameter, that allows us to plot anything in place of the combination matrix.

Let us first reproduce the standard combination plot, but use the override_plotting_function parameter to see how it works:

tidy_movies %>%
  distinct(title, year, length, .keep_all=TRUE) %>%
  ggplot(aes(x=Genres)) +
    geom_bar() +
    scale_x_mergelist(sep = "-") +
    axis_combmatrix(sep = "-", override_plotting_function = function(df){
      ggplot(df, aes(x= at, y= single_label)) +
        geom_rect(aes(fill= index %% 2 == 0), ymin=df$index-0.5, ymax=df$index+0.5, xmin=0, xmax=1) +
        geom_point(aes(color= observed), size = 3) +
        geom_line(data= function(dat) dat[dat$observed, ,drop=FALSE], aes(group = labels), linewidth= 1.2) +
        ylab("") + xlab("") +
        scale_x_continuous(limits = c(0, 1), expand = c(0, 0)) +
        scale_fill_manual(values= c(`TRUE` = "white", `FALSE` = "#F7F7F7")) +
        scale_color_manual(values= c(`TRUE` = "black", `FALSE` = "#E0E0E0")) +
        guides(color="none", fill="none") +
        theme(
          panel.background = element_blank(),
          axis.text.x = element_blank(),
          axis.ticks.y = element_blank(),
          axis.ticks.length = unit(0, "pt"),
          axis.title.y = element_blank(),
          axis.title.x = element_blank(),
          axis.line = element_blank(),
          panel.border = element_blank()
        )
    })

We can use the above template, to specifically highlight for example all sets that include the Action category.

tidy_movies %>%
  distinct(title, year, length, .keep_all=TRUE) %>%
  ggplot(aes(x=Genres)) +
    geom_bar() +
    scale_x_mergelist(sep = "-") +
    axis_combmatrix(sep = "-", override_plotting_function = function(df){
      print(class(df))
      print(df)
      df %>%
        mutate(action_movie = case_when(
          ! observed ~ "not observed",
          map_lgl(labels_split, ~ "Action" %in% .x) ~ "Action",
          observed ~ "Non-Action"
        )) %>%
        ggplot(aes(x = at, y = single_label)) +
          geom_rect(aes(fill = index %% 2 == 0), ymin=df$index-0.5, ymax=df$index+0.5, xmin=0, xmax=1) +
          geom_point(aes(color = action_movie), size = 3) +
          geom_line(data= function(dat) dat[dat$observed, ,drop=FALSE], aes(group = labels, color = action_movie), linewidth= 1.2) +
          ylab("") + xlab("") +
          scale_x_continuous(limits = c(0, 1), expand = c(0, 0)) +
          scale_fill_manual(values= c(`TRUE` = "white", `FALSE` = "#F7F7F7")) +
          scale_color_manual(values= c("Action" = "red", "Non-Action" = "black", "not observed" = "lightgrey")) +
          guides(fill="none") +
          theme(
            legend.position = "bottom",
            panel.background = element_blank(),
            axis.text.x = element_blank(),
            axis.ticks.y = element_blank(),
            axis.ticks.length = unit(0, "pt"),
            axis.title.y = element_blank(),
            axis.title.x = element_blank(),
            axis.line = element_blank(),
            panel.border = element_blank()
          )
    }) +
    theme(combmatrix.label.total_extra_spacing = unit(30, "pt"))

#> [1] "tbl_df"     "tbl"        "data.frame"
#> # A tibble: 336 × 7
#>    labels                  single_label    id labels_split     at observed index
#>    <ord>                   <ord>        <int> <list>        <dbl> <lgl>    <dbl>
#>  1 ""                      Short            1 <chr [0]>    0.0124 FALSE        1
#>  2 "Action"                Short            2 <chr [1]>    0.0332 FALSE        1
#>  3 "Action-Animation"      Short            3 <chr [2]>    0.0539 FALSE        1
#>  4 "Action-Animation-Roma… Short            4 <chr [3]>    0.0747 FALSE        1
#>  5 "Action-Animation-Shor… Short            5 <chr [3]>    0.0954 TRUE         1
#>  6 "Action-Comedy"         Short            6 <chr [2]>    0.116  FALSE        1
#>  7 "Action-Comedy-Drama"   Short            7 <chr [3]>    0.137  FALSE        1
#>  8 "Action-Comedy-Romance" Short            8 <chr [3]>    0.158  FALSE        1
#>  9 "Action-Comedy-Short"   Short            9 <chr [3]>    0.178  TRUE         1
#> 10 "Action-Documentary"    Short           10 <chr [2]>    0.199  FALSE        1
#> # ℹ 326 more rows

The override_plotting_function is incredibly powerful, but also an advanced feature that comes with pitfalls. Use at your own risk.

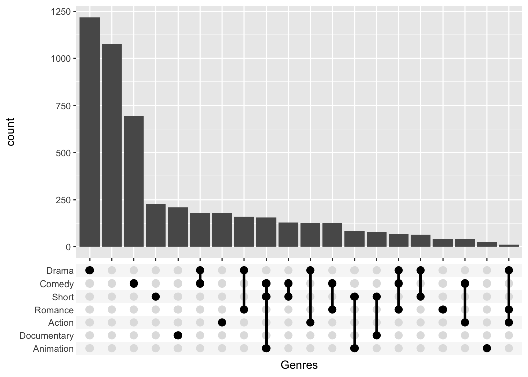
Alternative Packages

There is already a package called UpSetR (GitHub, CRAN) that provides very similar functionality and that heavily inspired me to write this package. It produces a similar plot with an additional view that shows the overall size of each genre.


# UpSetR
tidy_movies %>%
  distinct(title, year, length, .keep_all=TRUE) %>%
  unnest(cols = Genres) %>%
  mutate(GenreMember=1) %>%
  pivot_wider(names_from = Genres, values_from = GenreMember, values_fill = list(GenreMember = 0)) %>%
  as.data.frame() %>%
  UpSetR::upset(sets = c("Action", "Romance", "Short", "Comedy", "Drama"), keep.order = TRUE)


# ggupset
tidy_movies %>%
  distinct(title, year, length, .keep_all=TRUE) %>%
  ggplot(aes(x=Genres)) +
    geom_bar() +
    scale_x_upset(order_by = "degree", n_sets = 5)
#> Warning: Removed 1311 rows containing non-finite outside the scale range
#> (`stat_count()`).

The UpSetR package provides a lot convenient helpers around this kind of plot; the main advantage of my package is that it can be combined with any kind of ggplot that uses a categorical x-axis. This additional flexibility can be useful if you want to create non-standard plots. The following plot for example shows when movies of a certain genre were published.

tidy_movies %>%
  distinct(title, year, length, .keep_all=TRUE) %>%
  ggplot(aes(x=Genres, y=year)) +
    geom_violin() +
    scale_x_upset(order_by = "freq", n_intersections = 12)
#> Warning: Removed 513 rows containing non-finite outside the scale range
#> (`stat_ydensity()`).

Advanced examples

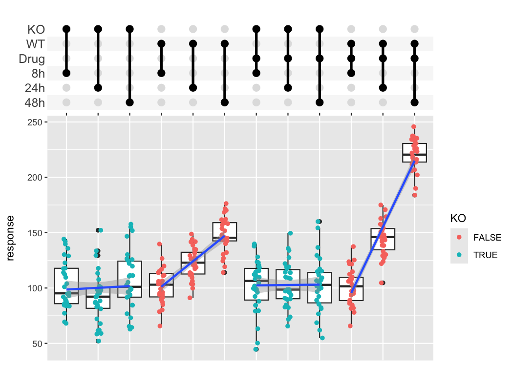
1. Complex experimental design

The combination matrix axis can be used to show complex experimental designs, where each sample got a combination of different treatments.

df_complex_conditions
#> # A tibble: 360 × 4
#>    KO    DrugA Timepoint response
#>    <lgl> <chr>     <dbl>    <dbl>
#>  1 TRUE  Yes           8     84.3
#>  2 TRUE  Yes           8    105. 
#>  3 TRUE  Yes           8     79.1
#>  4 TRUE  Yes           8    140. 
#>  5 TRUE  Yes           8    108. 
#>  6 TRUE  Yes           8     79.5
#>  7 TRUE  Yes           8    112. 
#>  8 TRUE  Yes           8    118. 
#>  9 TRUE  Yes           8    114. 
#> 10 TRUE  Yes           8     92.4
#> # ℹ 350 more rows

df_complex_conditions %>%
  mutate(Label = pmap(list(KO, DrugA, Timepoint), function(KO, DrugA, Timepoint){
    c(if(KO) "KO" else "WT", if(DrugA == "Yes") "Drug", paste0(Timepoint, "h"))
  })) %>%
  ggplot(aes(x=Label, y=response)) +
    geom_boxplot() +
    geom_jitter(aes(color=KO), width=0.1) +
    geom_smooth(method = "lm", aes(group = paste0(KO, "-", DrugA))) +
    scale_x_upset(order_by = "degree",
                  sets = c("KO", "WT", "Drug", "8h", "24h", "48h"),
                  position="top", name = "") +
    theme_combmatrix(combmatrix.label.text = element_text(size=12),
                     combmatrix.label.extra_spacing = 5)
#> `geom_smooth()` using formula = 'y ~ x'

2. Aggregation of information

dplyr currently does not support list columns as grouping variables. In that case it makes sense to collapse it manually and use the axis_combmatrix() function to get a good looking plot.

# Percentage of votes for n stars for top 12 genres
avg_rating <- tidy_movies %>%
  mutate(Genres_collapsed = sapply(Genres, function(x) paste0(sort(x), collapse="-"))) %>%
  mutate(Genres_collapsed = fct_lump(fct_infreq(as.factor(Genres_collapsed)), n=12)) %>%
  group_by(stars, Genres_collapsed) %>%
  summarize(percent_rating = sum(votes * percent_rating)) %>%
  group_by(Genres_collapsed) %>%
  mutate(percent_rating = percent_rating / sum(percent_rating)) %>%
  arrange(Genres_collapsed)
#> `summarise()` has grouped output by 'stars'. You can override using the
#> `.groups` argument.

avg_rating
#> # A tibble: 130 × 3
#> # Groups:   Genres_collapsed [13]
#>    stars Genres_collapsed percent_rating
#>    <dbl> <fct>                     <dbl>
#>  1     1 Drama                    0.0437
#>  2     2 Drama                    0.0411
#>  3     3 Drama                    0.0414
#>  4     4 Drama                    0.0433
#>  5     5 Drama                    0.0506
#>  6     6 Drama                    0.0717
#>  7     7 Drama                    0.129 
#>  8     8 Drama                    0.175 
#>  9     9 Drama                    0.170 
#> 10    10 Drama                    0.235 
#> # ℹ 120 more rows

# Plot using the combination matrix axis
# the red lines indicate the average rating per genre
ggplot(avg_rating, aes(x=Genres_collapsed, y=stars)) +
    geom_tile(aes(fill=percent_rating)) +
    stat_summary_bin(aes(y=percent_rating * stars), fun = sum,  geom="point", 
                     shape="—", color="red", size=6) +
    axis_combmatrix(sep = "-", levels = c("Drama", "Comedy", "Short", 
                    "Documentary", "Action", "Romance", "Animation", "Other")) +
    scale_fill_viridis_c()

Saving Plots

There is an important pitfall when trying to save a plot with a combination matrix. When you use ggsave(), ggplot2 automatically saves the last plot that was created. However, here last_plot() refers to only the combination matrix. To store the full plot, you need to explicitly assign it to a variable and save that.

pl <- tidy_movies %>%
  distinct(title, year, length, .keep_all=TRUE) %>%
  ggplot(aes(x=Genres)) +
    geom_bar() +
    scale_x_upset(n_intersections = 20)
ggsave("/tmp/movie_genre_barchart.png", plot = pl)
#> Saving 7 x 5 in image

Session Info

sessionInfo()
#> R version 4.3.2 (2023-10-31)
#> Platform: x86_64-apple-darwin20 (64-bit)
#> Running under: macOS Sonoma 14.5
#> 
#> Matrix products: default
#> BLAS:   /Library/Frameworks/R.framework/Versions/4.3-x86_64/Resources/lib/libRblas.0.dylib 
#> LAPACK: /Library/Frameworks/R.framework/Versions/4.3-x86_64/Resources/lib/libRlapack.dylib;  LAPACK version 3.11.0
#> 
#> locale:
#> [1] en_US.UTF-8/en_US.UTF-8/en_US.UTF-8/C/en_US.UTF-8/en_US.UTF-8
#> 
#> time zone: Europe/Berlin
#> tzcode source: internal
#> 
#> attached base packages:
#> [1] stats     graphics  grDevices utils     datasets  methods   base     
#> 
#> other attached packages:
#>  [1] ggupset_0.4.0   lubridate_1.9.3 forcats_1.0.0   stringr_1.5.1  
#>  [5] dplyr_1.1.4     purrr_1.0.2     readr_2.1.5     tidyr_1.3.1    
#>  [9] tibble_3.2.1    tidyverse_2.0.0 ggplot2_3.5.1  
#> 
#> loaded via a namespace (and not attached):
#>  [1] utf8_1.2.4        generics_0.1.3    lattice_0.22-5    stringi_1.8.3    
#>  [5] hms_1.1.3         digest_0.6.34     magrittr_2.0.3    evaluate_0.23    
#>  [9] grid_4.3.2        timechange_0.3.0  fastmap_1.1.1     Matrix_1.6-5     
#> [13] plyr_1.8.9        gridExtra_2.3     mgcv_1.9-1        fansi_1.0.6      
#> [17] viridisLite_0.4.2 scales_1.3.0      UpSetR_1.4.0      textshaping_0.3.7
#> [21] cli_3.6.2         rlang_1.1.3       munsell_0.5.0     splines_4.3.2    
#> [25] withr_3.0.0       yaml_2.3.8        tools_4.3.2       tzdb_0.4.0       
#> [29] colorspace_2.1-0  vctrs_0.6.5       R6_2.5.1          lifecycle_1.0.4  
#> [33] ragg_1.2.7        pkgconfig_2.0.3   pillar_1.9.0      gtable_0.3.4     
#> [37] glue_1.7.0        Rcpp_1.0.12       systemfonts_1.0.5 xfun_0.42        
#> [41] tidyselect_1.2.0  highr_0.10        rstudioapi_0.15.0 knitr_1.45       
#> [45] farver_2.1.1      nlme_3.1-164      htmltools_0.5.7   rmarkdown_2.25   
#> [49] labeling_0.4.3    compiler_4.3.2