BBNet – Simple predictive models based on Bayesian belief networks

Victoria Dominguez Almela & Richard Stafford 15 August, 2025

bbnet

CRAN status Codecov test coverage R-CMD-check

Introduction

The BBNet R package provides a comprehensive suite of tools for building, visualising, and analysing Bayesian Belief Networks.

It aims to facilitate decision-making by enabling users to model complex processes and infer probabilities of various outcomes. The package is designed to be user-friendly, making advanced probabilistic modelling techniques accessible to ecology and environmental researchers and practitioners.

Installation

You can install the development version of BBNet from GitHub with:

# install.packages("devtools")
#devtools::install_github("vda1r22/bbnet")
install.packages("bbnet")

Basic steps to get started

How to load the data in R?

With the exception of the bbn.network.diagram() function, all functions require a network model in the format below. It is easiest to read these into the R environment from a csv file. For this example, we will open the Rocky Shore model which comes as an example dataset within the BBNet package.

library(bbnet)
#> Loading required package: dplyr
#> 
#> Attaching package: 'dplyr'
#> The following objects are masked from 'package:stats':
#> 
#>     filter, lag
#> The following objects are masked from 'package:base':
#> 
#>     intersect, setdiff, setequal, union
#> Loading required package: ggplot2
#> Loading required package: grid
#> Loading required package: igraph
#> 
#> Attaching package: 'igraph'
#> The following objects are masked from 'package:dplyr':
#> 
#>     as_data_frame, groups, union
#> The following objects are masked from 'package:stats':
#> 
#>     decompose, spectrum
#> The following object is masked from 'package:base':
#> 
#>     union
#> Loading required package: tibble
#> 
#> Attaching package: 'tibble'
#> The following object is masked from 'package:igraph':
#> 
#>     as_data_frame

data("my_BBN")

head(my_BBN)
#>             X Dogwhelk Topshell Limpet Periwinkle Barnacle Green.Algae Biofilm
#> 1    Dogwhelk       NA       -1     -2         -2       -3          NA      NA
#> 2    Topshell       NA       NA     -1         -1       NA          -3      -3
#> 3      Limpet       NA       -2     NA         -2       NA          -4      -4
#> 4  Periwinkle       NA       -1     -1         NA       NA          -3      -3
#> 5    Barnacle       NA       NA     NA         NA       NA          NA      NA
#> 6 Green Algae       NA       NA     NA         NA       NA          NA      -2
#>   Corline.algae Fucoid.Algae
#> 1            NA           NA
#> 2            NA           NA
#> 3            NA           NA
#> 4            NA           NA
#> 5            NA           NA
#> 6            -3           -1

The details of this interaction matrix are discussed in the main text of the paper, which is under review in Ecological Informatics [we will update this shortly]. Essentially it explains direct interactions between what is here the species or taxon in the row on the species or taxon in the column.

It is also normal in most functions to have a scenario or scenarios which we want to investigate. In this rocky shore example, we have three scenarios - the removal of dogwhelks, the addition of periwinkles and a combination treatment, where dogwhelks are removed and periwinkles added. Some of these scenarios and the model are described in more detail in this paper.

Scenarios are loaded in as follows:

data("dogwhelk", "winkle", "combined")

head(dogwhelk)
#>   Increase        Node
#> 1       -4    Dogwhelk
#> 2        0    Topshell
#> 3        0      Limpet
#> 4        0  Periwinkle
#> 5        0    Barnacle
#> 6        0 Green Algae

In this case, any planned manipulation of the system (i.e. direct effects on the system) are listed - here all dogwhelks are removed, so a value of -4 is given (scale from -4 -strong decrease, to +4, strong increase).

Running a predictive model

bbn.predict()

We can run a predictive model on up to 12 scenarios at a time using the bbn.predict() function. As a minumum, we need to pass the network model and one scenario to the function.

bbn.predict(bbn.model = my_BBN, priors1 = dogwhelk, figure = 0) # figure set to zero, this is explained below
#> Warning in bbn.predict(bbn.model = my_BBN, priors1 = dogwhelk, figure = 0):
#> Node names in priors are different to those in the interaction matrix - prior
#> names will be used, but please check order of nodes is identical
#> [1] "Scenario number  1"
#>     Increase          name    LowerCI    UpperCI
#> 1 -4.0000000      Dogwhelk -4.0000000 -4.0000000
#> 2  0.8000000      Topshell  0.8000000  0.8000000
#> 3  1.6000000        Limpet  1.6000000  1.6000000
#> 4  1.6000000    Periwinkle  1.6000000  1.6000000
#> 5  2.4000000      Barnacle  2.4000000  2.4000000
#> 6 -1.7985382   Green Algae -1.7985382 -1.7985382
#> 7 -1.7985382       Biofilm -1.7985382 -1.7985382
#> 8  1.0791229 Corline algae  1.0791229  1.0791229
#> 9  0.3597076  Fucoid Algae  0.3597076  0.3597076

The output given above shows the posterior outcome of the model as a result of dogwhelks decreasing - under the Increase column. Grazers increase (positive values) and some of the seaweeds which would be grazed by the grazers decreases. As the paper above explains, this is a short-term prediction model, so some seaweed actually increases in this scenario. There are also confidence intervals of our predictions - currently these show no difference to the main values, but we can bootstrap the model to gain an idea of the confidence of the predictions.

Function arguments

Required arguments

bbn.model - a matrix or dataframe of interactions between different model nodes

priors1 - an X by 2 array of initial changes to the system under investigation. The first column should be a -4 to 4 (including 0) integer value for each node in the network with negative values indicating a decrease and positive values representing an increase. 0 represents no change. Note, names included here are included as outputs in tables and figures (note misspelling of coraline algae in examples). Shortening these names can provide better figures

Optional Arguments

priors2 - priors12 - as above, but additional scenarios.

boot_max - the number of bootstraps to perform. Suggested range for exploratory analysis 1-1000. For final analysis recommended size = 1000 - 10000 - note, this can take a long time to run. Default value is 1, running with no bootstrapping - suitable for exploration of data and error checking.

values - default value 1. This provides a numeric output of posterior values and any confidence intervals. Set to 0 to hide this output

figure - default value 1. Sets the figure options. 0 = no figures produced. 1 = figure is saved in working directory as a PDF file (note, this is overwritten if the name is not changed, and no figure is produced if the existing PDF is open when the new one is generated). 2 = figure is produced in a graphics window. All figures are combined on a single plot where scenario 2 is below scenario 1 (i.e. scenarios work in columns then rows)

font.size - default = 5. This sets the font size on the figures.

Example

bbn.predict(bbn.model = my_BBN, priors1 = dogwhelk, priors2 = winkle, priors3= combined, figure = 2, boot_max = 100, values = 0, font.size = 7)
#> Warning in bbn.predict(bbn.model = my_BBN, priors1 = dogwhelk, priors2 =
#> winkle, : Node names in priors are different to those in the interaction matrix
#> - prior names will be used, but please check order of nodes is identical
#> Warning in bbn.predict(bbn.model = my_BBN, priors1 = dogwhelk, priors2 =
#> winkle, : Node names in priors are different to those in the interaction matrix
#> - prior names will be used, but please check order of nodes is identical
#> Warning in bbn.predict(bbn.model = my_BBN, priors1 = dogwhelk, priors2 =
#> winkle, : Node names in priors are different to those in the interaction matrix
#> - prior names will be used, but please check order of nodes is identical

You can extract the prediction results for any scenario:

results <- bbn.predict(bbn.model = my_BBN, priors1 = dogwhelk, priors2 = winkle, priors3= combined, boot_max = 100)
#> Warning in bbn.predict(bbn.model = my_BBN, priors1 = dogwhelk, priors2 =
#> winkle, : Node names in priors are different to those in the interaction matrix
#> - prior names will be used, but please check order of nodes is identical
#> [1] "Scenario number  1"
#>     Increase          name    LowerCI    UpperCI
#> 1 -4.0000000      Dogwhelk -4.0000000 -4.0000000
#> 2  0.8000000      Topshell  0.6254595  0.9656235
#> 3  1.6000000        Limpet  1.5143918  1.6750624
#> 4  1.6000000    Periwinkle  1.4986888  1.7169608
#> 5  2.4000000      Barnacle  2.3607991  2.4160612
#> 6 -1.7985382   Green Algae -2.3159993  0.0000000
#> 7 -1.7985382       Biofilm -2.5117583  0.0000000
#> 8  1.0791229 Corline algae  0.0000000  1.4349772
#> 9  0.3597076  Fucoid Algae  0.0000000  0.4650112
#> Warning in bbn.predict(bbn.model = my_BBN, priors1 = dogwhelk, priors2 =
#> winkle, : Node names in priors are different to those in the interaction matrix
#> - prior names will be used, but please check order of nodes is identical
#> [1] "Scenario number  2"
#>   Increase          name    LowerCI    UpperCI
#> 1     0.00      Dogwhelk  0.0000000  0.0000000
#> 2    -0.60      Topshell -0.8859101 -0.3889231
#> 3    -0.60        Limpet -0.7161615 -0.4135167
#> 4     3.00    Periwinkle  3.0000000  3.0000000
#> 5     0.00      Barnacle  0.0000000  0.0000000
#> 6    -1.80   Green Algae -2.3039743 -1.4805342
#> 7    -1.80       Biofilm -2.4281818 -1.4755448
#> 8     1.08 Corline algae  0.7867032  1.3937164
#> 9     0.36  Fucoid Algae  0.1737414  0.4900351
#> Warning in bbn.predict(bbn.model = my_BBN, priors1 = dogwhelk, priors2 =
#> winkle, : Node names in priors are different to those in the interaction matrix
#> - prior names will be used, but please check order of nodes is identical
#> [1] "Scenario number  3"
#>     Increase          name    LowerCI    UpperCI
#> 1 -4.0000000      Dogwhelk -4.0000000 -4.0000000
#> 2  0.5480000      Topshell  0.0000000  0.7302683
#> 3  1.3960000        Limpet  1.2200014  1.5356487
#> 4  3.0000000    Periwinkle  3.0000000  3.0000000
#> 5  2.4000000      Barnacle  2.4007149  2.4007149
#> 6 -2.2508415   Green Algae -2.6165441 -1.7374702
#> 7 -2.0529021       Biofilm -2.2566043 -1.8152090
#> 8  1.3505049 Corline algae  1.0421560  1.5881879
#> 9  0.4501683  Fucoid Algae  0.3201083  0.5516109
results[[2]]$summary  # view the numeric output for scenario 2
#>   Increase          name    LowerCI    UpperCI
#> 1     0.00      Dogwhelk  0.0000000  0.0000000
#> 2    -0.60      Topshell -0.8859101 -0.3889231
#> 3    -0.60        Limpet -0.7161615 -0.4135167
#> 4     3.00    Periwinkle  3.0000000  3.0000000
#> 5     0.00      Barnacle  0.0000000  0.0000000
#> 6    -1.80   Green Algae -2.3039743 -1.4805342
#> 7    -1.80       Biofilm -2.4281818 -1.4755448
#> 8     1.08 Corline algae  0.7867032  1.3937164
#> 9     0.36  Fucoid Algae  0.1737414  0.4900351

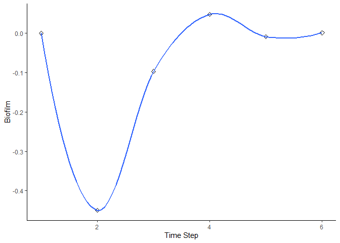
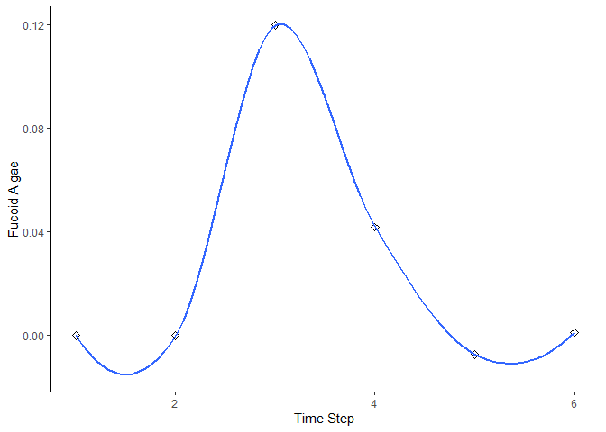
Visualising changes over time

Two functions help visualise changes over time. It should be noted that the exact values from these functions do not correspond to the more robust bbn.predict() - which should be used to inform of likely changes. These help visualise the flow of information through the network and how changes progress through the network over time (e.g. should we expect to see a change in one parameter before another - perhaps as per trophic cascade or ecological succession type processes)

bbn.timeseries()

As above we need to pass the function a network model and a scenario as a minimum. In this case, only one scenario can be analysed at once. The output is a graph of each node in the network, visualised across the different timesteps in the model. Note - values are plotted on each graph and lines of best fit are drawn using the geom_smooth() function. Typically this function may not perform well with the variability in values and lack of data points, and multiple warning messages may be produced.

Required arguments

bbn.model - a matrix or dataframe of interactions between different model nodes

priors1 - an X by 2 array of initial changes to the system under investigation. The first column should be a -4 to 4 (including 0) integer value for each node in the network with negative values indicating a decrease and positive values representing an increase. 0 represents no change.

Optional Arguments

timesteps - default = 5. This is the number of timesteps the model performs. Note, timesteps are arbitrary and non-linear. However, something occurring in timestep 2, should occur before timestep 3.

disturbance - default = 1. 1 - creates a prolonged or press disturbance as per the bbn.predict() function. Essentially prior values for each manipulated node are at least maintained (if not increased through reinforcement in the model) over all timesteps. 2 - shows a brief pulse disturbance, which can be useful to visualise changes as peaks and troughs in increase and decrease of nodes can propagate through the network

Example

bbn.timeseries(bbn.model = my_BBN, priors1 = combined, timesteps = 6, disturbance = 2)
#> Warning in bbn.timeseries(bbn.model = my_BBN, priors1 = combined, timesteps =
#> 6, : Node names in priors are different to those in the interaction matrix -
#> prior names will be used, but please check order of nodes is identical
#> `geom_smooth()` using formula = 'y ~ x'

#> `geom_smooth()` using formula = 'y ~ x'

#> `geom_smooth()` using formula = 'y ~ x'

#> `geom_smooth()` using formula = 'y ~ x'

#> `geom_smooth()` using formula = 'y ~ x'

#> `geom_smooth()` using formula = 'y ~ x'

#> `geom_smooth()` using formula = 'y ~ x'

#> `geom_smooth()` using formula = 'y ~ x'

#> `geom_smooth()` using formula = 'y ~ x'

bbn.visualise()

This function produces a network diagram in each timestep of the model, rather than the graph produced above. The most important interactions at that timestep are listed and the colour of nodes changes from black (showing the highest increase) to white (showing the lowest increase / largest decrease)

Required arguments

bbn.model - a matrix or dataframe of interactions between different model nodes

priors1 - an X by 2 array of initial changes to the system under investigation. The first column should be a -4 to 4 (including 0) integer value for each node in the network with negative values indicating a decrease and positive values representing an increase. 0 represents no change.

Optional Arguments

timesteps - default = 5. This is the number of timesteps the model performs. Note, timesteps are arbitrary and non-linear. However, something occurring in timestep 2, should occur before timestep 3.

disturbance - default = 1. 1 - creates a prolonged or press disturbance as per the bbn.predict() function. Essentially prior values for each manipulated node are at least maintained (if not increased through reinforcement in the model) over all timesteps. 2 - shows a brief pulse disturbance, which can be useful to visualise changes as peaks and troughs in increase and decrease of nodes can propagate through the network

threshold - default = 0.2. Nodes which deviate from 0 by more than this threshold value will display interactions with other nodes. As mentioned, values in these visualisation functions don’t directly correspond to those in the bbn.predict() function. This value can be tweaked from 0 to 4 to create the most useful visualisations

font.size - default = 0.7. Changes the font in the figure produced. The value here is a multiplier of the default font size used in the igraph package and does not correspond to the font.size argument in the bbn.timeseries() function.

arrow.size - default = 4. Changes the size of the arrows. Note, sizes do vary based on interaction strength, so this is a multiplier for visualisation purposes.

Example

bbn.visualise(bbn.model = my_BBN, priors1 = combined, timesteps = 5, disturbance = 2, threshold=0.05, font.size=0.7, arrow.size=4)
#> Warning in bbn.visualise(bbn.model = my_BBN, priors1 = combined, timesteps = 5,
#> : Node names in priors are different to those in the interaction matrix - prior
#> names will be used, but please check order of nodes is identical

#> NULL

#> NULL

#> NULL

#> NULL

#> NULL

Parameterisation of the model

bbn.sensitivity()

For some methods of model parameterisation, extensive data extraction from literature, or expert opinion can be useful. However, this is time consuming, and being aware of the most sensitive parameters in the model which may affect the desired outputs could help concentrate efforts. This function produces a list of the most important parameters / interaction strengths to examine.

Required arguments

bbn.model - a matrix or dataframe of interactions between different model nodes

One or more nodes (recommended no more than 3) which would be the main outcomes of interest in the model. The spelling of these nodes needs to be identical (including capital letters) to that in the imported csv file (note, you should include spaces if these are in your csv file, rather than the dot notation used once imported into R).

Optional arguments

boot_max - the number of bootstraps to perform. Suggested range for exploratory analysis 100-1000. For final analysis recommended size = 1000 - 10000 - note, this can take a long time to run. Default value is 1000.

Example use and interpretation

bbn.sensitivity(bbn.model = my_BBN, boot_max = 100, 'Limpet', 'Green Algae')

#>                   sens.output Freq
#> 1            Dogwhelk->Limpet    1
#> 2   Green.Algae->Fucoid.Algae    1
#> 3          Limpet->Periwinkle    1
#> 4          Dogwhelk->Topshell    2
#> 5        Green.Algae->Biofilm    2
#> 6  Green.Algae->Corline.algae    2
#> 7         Periwinkle->Biofilm    2
#> 8          Dogwhelk->Barnacle    3
#> 9             Limpet->Biofilm    3
#> 10        Limpet->Green.Algae    3
#> 11           Limpet->Topshell    3
#> 12    Periwinkle->Green.Algae    3
#> 13         Periwinkle->Limpet    3
#> 14          Topshell->Biofilm    3
#> 15           Topshell->Limpet    3
#> 16      Topshell->Green.Algae    4
#> 17       Topshell->Periwinkle    5
#> 18       Periwinkle->Topshell    6

The function works by bootstrapping with multiple changes to prior values and interaction strengths in the network. The frequency shows the number of times a modified interaction shows up as important in causing a change to the listed nodes. As such, those interactions showing as more frequent in the table or figure are likely to be most influential in any predictions. These should be subject to closer scrutiny in terms of values used. (note, this does not mean the values are incorrect or should be reduced from more extreme values - i.e. from 4 to 3, just that they should be carefully checked)

Visualising the network

For simple networks visualising the interactions can be useful. In some more complex cases, network diagrams will only serve to illustrate a ‘complex system’ exists.

bbn.network.diagram()

This visualises all nodes and interactions in a network, in a similar manner to the bbn.visualise() package, other than this is the full network. Nodes can also be colour coded by theme. It is easiest to create a slightly different csv file to produce these networks, which allows for the colour coding.

data("my_network")

head(my_network)
#>    id node.type   node.name Dogwhelk Topshell Limpet Periwinkle Barnacle
#> 1 s01         1    Dogwhelk       NA       -1     -2         -2       -3
#> 2 s02         2    Topshell       NA       NA     -1         -1       NA
#> 3 s03         2      Limpet       NA       -2     NA         -2       NA
#> 4 s04         2  Periwinkle       NA       -1     -1         NA       NA
#> 5 s05         3    Barnacle       NA       NA     NA         NA       NA
#> 6 s06         4 Green Algae       NA       NA     NA         NA       NA
#>   Green.Algae Biofilm Corline.algae Fucoid.Algae
#> 1          NA      NA            NA           NA
#> 2          -3      -3            NA           NA
#> 3          -4      -4            NA           NA
#> 4          -3      -3            NA           NA
#> 5          NA      NA            NA           NA
#> 6          NA      -2            -3           -1

Note - in this file, the first column is called id and consists of an s and a 2 digit number relating to the node number. The second column is called node.type and is an integer value from 1-4. This sets the colour of the node in the network (sticking to a maximum of four colours). Here, predators, grazers, filter feeders and algae are colour coded seperately - it would be fine to change the colours, for example to ensure algae were green. The third column is the same as the first column in the standard BBN interaction csv, other than it is titled node.name. It is important to use these column names (including capitals and dot notation). The remainder of the columns are exactly as the standard BBN interaction csv file.

Required arguments

bbn.network - a csv file as described above, with note paid to the first three column names

Optional arguments

font.size - default = 0.7. Changes the font in the figure produced. The value here is a multiplier of the default font size used in the igraph package and does not correspond to the font.size argument in the bbn.timeseries() function.

arrow.size - default = 4. Changes the size of the arrows. Note, sizes do vary based on interaction strength, so this is a multiplier for visualisation purposes. Negative interactions are shown by red arrows, and positive interactions by black arrows

arrange - this describes how the final diagram looks. Default is layout_on_sphere but layout_on_grid provides the same layout as in the bbn.visualise() function and ensures nodes are structured in the order specified in the network. Other layouts, including layout_on_sphere are more randomly determined, and better/clearer diagrams may occur if you run these multiple times. Other options are from the igraph package:

layout.sphere
layout.circle
layout.random
layout.fruchterman.reingold

Examples

bbn.network.diagram(bbn.network = my_network, font.size = 0.7, arrow.size = 4, arrange = layout_on_sphere)

#> NULL
bbn.network.diagram(bbn.network = my_network, font.size = 0.7, arrow.size = 2, arrange = layout_on_grid)

#> NULL
bbn.network.diagram(bbn.network = my_network, font.size = 0.7, arrow.size = 2, arrange = layout.random)

#> NULL
bbn.network.diagram(bbn.network = my_network, font.size = 0.7, arrow.size = 2, arrange = layout.circle)

#> NULL

Improving the package

If something is not clear, or missing, or if you would like to request a feature, please open an issue on our GitHub repository.

Citation

If you found the package and/or the tutorial useful, please do not hesitate to cite the package as an acknowledgement for the time spent in writing the package and this tutorial.

citation("bbnet")
#> Warning in citation("bbnet"): could not determine year for 'bbnet' from package
#> DESCRIPTION file
#> To cite package 'bbnet' in publications use:
#> 
#>   Dominguez Almela V, Stafford R (????). _bbnet: Create Simple
#>   Predictive Models on Bayesian Belief Networks_. R package version
#>   1.2.1, <https://github.com/vda1r22/bbnet>.
#> 
#> A BibTeX entry for LaTeX users is
#> 
#>   @Manual{,
#>     title = {bbnet: Create Simple Predictive Models on Bayesian Belief Networks},
#>     author = {Victoria {Dominguez Almela} and Richard Stafford},
#>     note = {R package version 1.2.1},
#>     url = {https://github.com/vda1r22/bbnet},
#>   }